Skip to content
SWAN Permanency Toolkit
Chat
Sharing
Glossary
Forums
Menu
Home
Toolkit
Calendar
Members
Contact
Profile
Site Map
Home
>
cprep540
cprep540
Click here to download the complete benchmark:
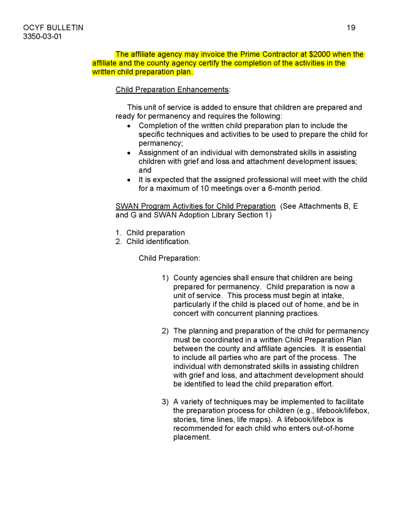
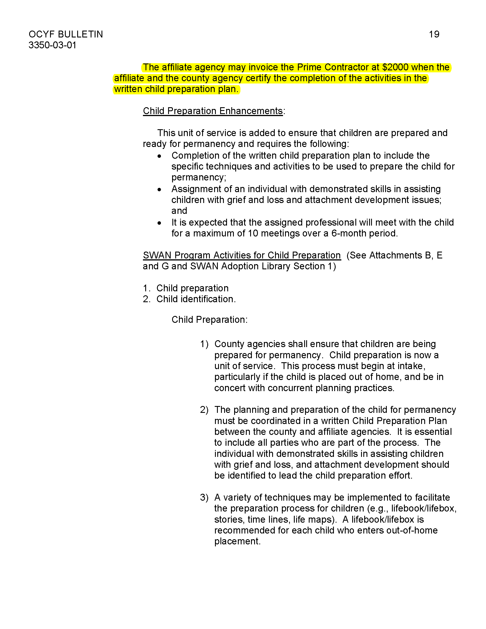
OCYF Bulletin #3350-03-01
Scroll to Top