Skip to content
SWAN Permanency Toolkit
Chat
Sharing
Glossary
Forums
Menu
Home
Toolkit
Calendar
Members
Contact
Profile
Site Map
Home
>
pla442
pla442
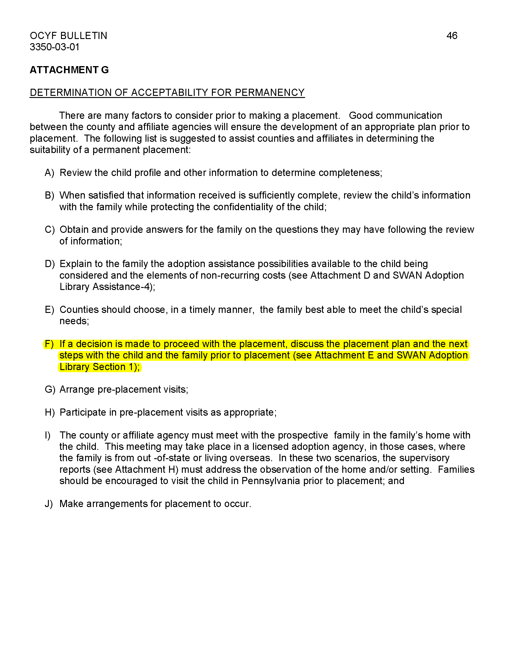
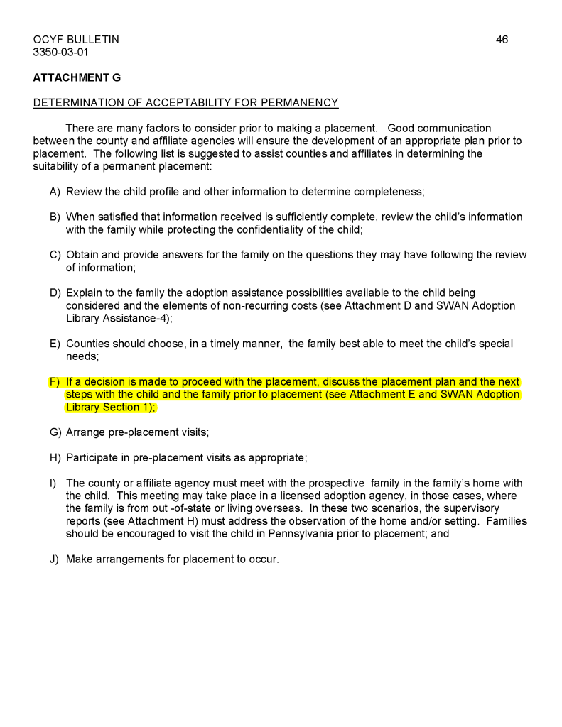
Click here to download the complete benchmark:
OCYF Bulletin #3350-03-01
Scroll to Top